Daveric A. Pagsisihan, MD
Section of Endocrinology, Diabetes and Metabolism
Department of Medicine, Philippine General Hospital
Taft Avenue, Ermita, Manila, Philippines 1000
Tel. No.: +632-554-8400 local 2230
E-mail: cir_evad@yahoo.com
e-ISSN 2308-118x
Printed in the Philippines
Copyright © 2016 by the JAFES
Received June 1, 2016. Accepted July 13, 2016.
Published Online First: September 7, 2016.
Objectives. To determine cut-off levels of body mass index (BMI), waist circumference (WC) and waist-to-hip ratio (WHR) for overweight/obesity associated with cardiometabolic diseases (CMDs) among adult Filipinos in a rural community.
Methodology. This community-based cross-sectional observational study utilized data from our Phase II of Diabetes Self-Management Education Program in San Juan, Batangas, Philippines. It included 332 Filipino adults with no known illnesses and residing for at least 6 months in the rural communities. Optimal cut-offs were determined by the intersection of sensitivity and specificity curves of having at least 1 or 2 CMDs.
Results. The study population included 332 participants (72.3% females). Mean BMI, WC and WHR were 23.5 kg/m2, 79.5 cm and 0.87 respectively. Twenty eight percent, 11.1%, 78.3% and 85.8% of the participants have hypertension, diabetes, dyslipidemia, and at least 1 CMD respectively. The optimal cut-off for overweight/obesity and central obesity in males and females are BMI of 24 and 23 kg/m2, WC of 84 and 77 cm, and WHR 0.91 and 0.85 respectively.
Conclusion. Similar to other Asian countries, cut-off levels for overweight, obesity, and central obesity associated with CMDs are lower than the currently recommended cut-offs among Filipino adults in rural communities, particularly for WC in both sexes.
Overweight and obesity are considered to be major risk factors for the development of cardiometabolic diseases (CMDs) including hypertension, type 2 diabetes mellitus, and dyslipidemia.[1] Worldwide, the prevalence of overweight and obesity have been increasing across all ethnic origins[2] and current figures are expected to increase as modernization of low and middle income countries occurs.[3] In the Philippines, the prevalence of CMDs is increasing concomitantly with the escalating rate of overweight and obesity as reported by the National Nutrition and Health Survey (NNHeS) in 2003[4] and 2008.[5] The first NNHeS prevalence rate of overweight (11.8%) and obesity (1.7%) in the Philippines was reported in 1987, defined as body mass index (BMI) of 25.0 – 29.9 kg/m2 for overweight and ≥30 kg/m2 for obesity.[6]Twenty years later, the 2008 NNHES showed these figures have risen two- to three-folds to 21.4% and 5.3% respectively, using the same criteria.[5]
A growing body of literature, however, suggests that the global World Health Organization (WHO) BMI and waist circumference (WC) recommended cut-offs established in 1995[7] should be lowered for Asian populations,[8] since they are described as “small” or “lean” compared to Caucasians of similar age and sex.[9] The prevalence of overweight and obesity in Asia appears to be lower compared to other continents, but this is discordant with the growing incidence of obesity-related diseases in the region.[9][10] In 2000, the WHO, the International Obesity Task Force, and the International Association for the study of Obesity collaboration recommended lower BMI and WC cut-offs for Asia-Pacific populations [WHO Asia – Pacific Perspective (WHO-APP)].[11] However, even within Asian populations, a certain degree of heterogeneity exists particularly in ethnic-specific variations in body fat percentages likely due to genetic and cultural diversity which may translate to varying BMI, WC and waist-to-hip ratio (WHR) cut-off values for a given Asian population.[12]
Among the Southeast Asian and neighboring countries, optimal cut-offs were found to be varied relative to the occurrence of CMDs.[13]-[20] Given these differences in optimal cut-off points for overweight, obesity and central obesity in Asia, setting a single and common cut-off values for the region cannot be adapted universally at present. Therefore, country-specific anthropometric indices cut-offs are appropriate and clinically relevant.[9]
This study is one of the first attempts to test whether the current anthropometric indices cut-offs were appropriate for Filipinos. The objective was to determine the optimal cut-off levels of BMI, WC and WHR for overweight/obesity and central obesity associated with the occurrence of selected cardiometabolic diseases, namely hypertension, diabetes and dyslipidemia among adult Filipinos aged ≥18 years old in a rural community. Specifically, the study determined the rate of overweight, obesity and central obesity using the two cut-off points of WHO, and the accuracy of BMI, WC and WHR in predicting the presence of CMDs.
METHODOLOGYThis is a community-based cross-sectional observational study that utilized data from Phase II of Diabetes Self-Management Education (DSME) Program. Briefly, the DSME program is a 4-phase community-based study conducted by the Diabetes Study Group of the Section of Endocrinology, Diabetes and Metabolism of the University of the Philippines - Manila in San Juan, Batangas. Phase I determined the knowledge, attitudes and practices of persons with type 2 diabetes in the community.[21] Phase II determined the prevalence of pre-diabetes, type 2 diabetes, hypertension, dyslipidemia and metabolic syndrome. Phase III was the actual implementation of the program to demonstrate its effectiveness. Lastly, Phase IV aimed to determine the effectiveness of a lifestyle intervention program in preventing diabetes among those who have prediabetes. The program is currently on its Phase IV of implementation. The municipality of San Juan, Batangas, Philippines is an agricultural coastal town, subdivided into 42 barangays. It is approximately 115 kilometers away from Manila, and 43 kilometers away from Batangas City. The main sources of livelihood include farming and fishing, while the usual means of transportation within their barangay is by walking. San Juan, Batangas was chosen since it is the site of Community Health and Development Program (CHDP) of the University of the Philippines - Manila.
Phase II of the DSME program included 365 adults (>18 years old) with no known CMDs and residing for at least 6 months in the rural communities of San Juan, Batangas. Pregnant women, those taking anti-hypertensive and cholesterol lowering drugs, and those taking drugs which affect glucose metabolism such as glucocorticoids were excluded. Participants with diabetes were not excluded. In this analysis, the 33 participants who were known to have diabetes already were excluded since they were already taking oral hypoglycemic agents and practicing some form of lifestyle changes that could alter their anthropometric measurements. This reduced the study population to 332.
Participants were selected through a 3-stage stratified random sampling method. The 3 strata of sampling units were barangays, household and household members. For the first stratum, 12 were selected of 42 barangays. A list of household and household members from these barangays was obtained. For the second stratum, random sampling of households proportionate to population size of each barangay was performed. For the third stratum, random sampling of members of selected households was conducted. Three hundred sixty-five (365) were initially invited to participate. However, only 118 (32%) from the original list participated. The remaining 247 participants were co-dwellers of the same household. The reduction in the number of participants is due to limitations of performing research in a rural community including unavailability due to school or work, seeing the activity as an opportunity to be seen by a doctor and have laboratory tests done for free, and the perception of being inconsiderate should they have been turned down. The non-randomly selected household members were allowed to participate as a replacement for their randomly selected relative since these individuals made an effort to walk to the study site early in the morning after undergoing an 8-hour fast and satisfied the first and second stratification criteria.
All participants were evaluated after signing an informed consent. Demographic and socio-economic data were documented through a standardized questionnaire. Physical examination was carried out by trained research assistants. Weight in kg and height in cm (to one decimal point) were measured using a standard weighing scale (with sandals/shoes and heavy clothing removed) and measuring stick built in to the weighing scale (without shoes) respectively. The BMI (to one decimal point) was calculated as the weight (kg) divided by the square of height (m). Their WC and HC in cm (to one decimal point) were measured through a non-elastic tape measure at the midpoint between the iliac crest and the lower rib margin, and the maximum circumference around the buttocks posteriorly and pubic symphysis anteriorly respectively. Their WHR was then calculated (to two decimal points). Blood pressure (BP) was measured using a mercury sphygmomanometer. Two blood pressure determinations were taken from the right arm in a sitting position, 5 minutes apart, after a 30-minute rest. The average of the two measures was recorded for analysis. To limit inter-observer variability only one person took the anthropometric measurement and blood pressure levels of all participants.
Blood specimens were drawn after a minimum 8-hour fast for serum lipids [total cholesterol (TC), triglycerides (TG), high density lipoprotein (HDL), and low density lipoprotein (LDL)] and glucose. A second blood extraction was performed 2 hours post-glucose load for a 75-gram oral glucose tolerance test (OGTT). Fasting blood sugar (FBS) was determined by glucose oxidase method. Serum TC was measured enzymatically after hydrolyzation of glycerol. HDL cholesterol was measured after the precipitation of other lipoproteins with heparin manganese chloride mixture. Laboratory assays were performed at the Medical Research Laboratory of the Philippine General Hospital. Glucose and lipid levels were measured using the Biochem Tem machine.
The study has been approved by the University of the Philippines Manila Research Ethics Board (Registration No: MED 2014-336-01).
Operational DefinitionOverweight and obesity were defined based on two BMI criteria, the global WHO, and WHO-APP recommendations. Central obesity was likewise defined based on global WHO and WHO-APP WC criteria, and global WHO WHR criteria.[2][11]
The diagnosis of diabetes was based on the American Diabetes Association criteria for fasting plasma glucose and/or plasma glucose 2 hours after a 75 grams oral glucose load.[22] The diagnosis of dyslipidemia was based on the 3rd report of the National Cholesterol Education Program (NCEP) Expert Panel on Detection, Evaluation, and Treatment of High Blood Cholesterol in Adults (Adult Treatment Panel III) Final Report.[23] In this study, only abnormal levels TG and/or HDL were considered dyslipidemia as they were the only lipid parameters included for the diagnosis of metabolic syndrome (clustering of CMDs). Lastly, the diagnosis of hypertension was based on the 7th Report of the Joint National Committee on Prevention, Detection, Evaluation, and Treatment of High Blood Pressure.[24]
Statistical AnalysisSample size was total enumeration of the population of Phase II of DSME program. Demographic data was reported using descriptive statistics, mean and standard deviation for continuous variables and frequency and percentage for nominal variables. Means of continuous and nominal variables were compared between 2 genders using independent t-test and Fisher’s exact test respectively. The statistical significance level was established at alpha of 5% (p<0.05). Percentage of participants who were overweight, obese and centrally obese based on the global WHO and WHO-APP criteria were determined. Area under the receiver operating characteristic (ROC) curve (AUC) was used to determine the diagnostic power of BMI, WC and WHR for each, and having at least 1 and 2 CMDs. Optimal cut-offs for each of the 3 anthropometric indices associated with the occurrence of each, and at least 1 and 2 CMDs were defined by the intersection of their sensitivity and specificity curves representing the optimal balance between the two measures of diagnostic accuracy.[13][15]-[17] All statistical analyses were stratified by sex and were performed using Stata SE version 13.
A total of 332 participants with a mean age of 48.4 years (range: 18 to 88 years) were included in the study (Table 1). Seventy-two percent (72%) were female. Mean BMI, WC and WHR were 23.5 kg/m2, 79.5 cm and 0.87 respectively. On average, males had higher weight, height, WC and WHR. There was no significant difference in terms of BMI and HC between sexes. Eighty-five percent of the participants were diagnosed with at least 1 CMD at the clinic visit, and the most prevalent was dyslipidemia (78.3%), followed by hypertension and diabetes, with no prevalence difference by sex.
Click here to download Table 1Table 1. Demographic characteristics, anthropometric indices and cardiometabolic diseases in both sexes

Based on the global WHO criteria, the rate of overweight, obesity and central obesity were 26.8%, 6.3% and 16.7% respectively (Table 2). More female participants have overweight, obesity and central obesity. More participants have central obesity due to increased WC. Based on the WHO-APP criteria, the rate of overweight decreased to 17.5%, while that of obesity and central obesity increased to 33.1% and 59.2% respectively. More male participants have overweight while more female participants have obesity and central obesity. More participants have central obesity due to combination of increased WC and WHR.
Click here to download Table 2Table 2. Rate of overweight, obesity and central obesity by sex and WHO anthropometric cut-offs

The AUCs of the three anthropometric indices for the occurrence of each, and at least 1 and 2 CMDs are shown in Table 3. The AUCs were always higher for males except for diabetes mellitus. For both sexes, the highest AUC for the occurrence of hypertension, diabetes mellitus and dyslipidemia were with WC, WHR and BMI respectively.
Click here to download Table 3Table 3. Areas under the ROC curve (AUC) of anthropometric indices and cardiometabolic diseases (CMD) in both sexes

For predicting at least 1 CMD, BMI has the highest AUC for both sexes. For predicting at least 2 CMDs, BMI and WHR have the highest AUCs for males and females respectively. The AUCs of the 3 anthropometric indices were always higher in predicting the presence of at least 2 CMDs in males. For females, the AUCs of BMI and WC were higher in predicting the presence of at least 1 CMD.
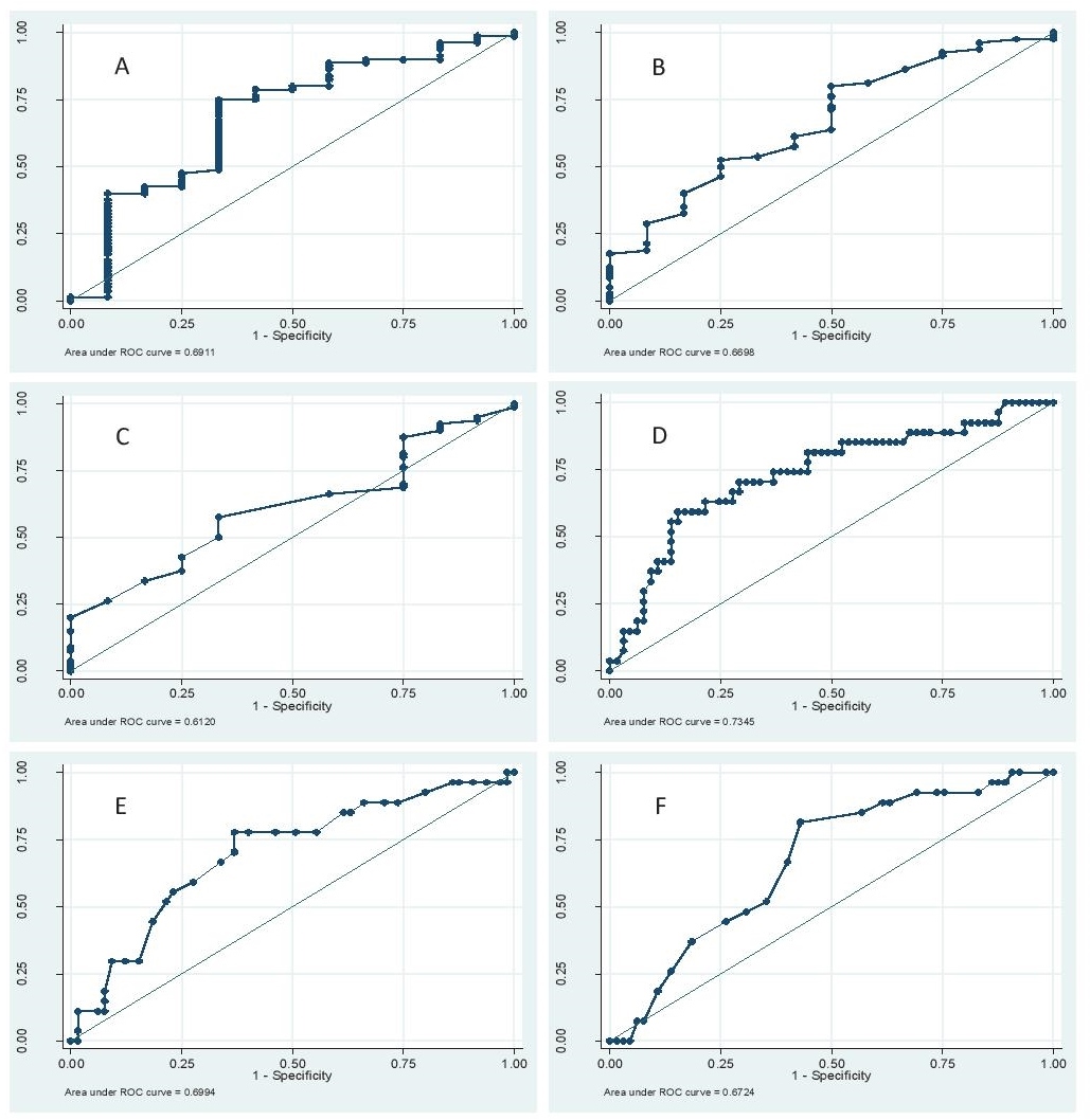
Click here to download Figure 1Figure 1. Area Under the Receiver Operating Curve (AUC) of the BMI, WC and WHR for predicting the presence of at least 1 and 2 CMDs in males. The AUCs were larger for all anthropometric indices for predicting the presence of at least 2 CMDs compared to at least 1 CMD. A, BMI and at least 1 CMD; B, WC and at least 1 CMD; C, WHR and at least 1 CMD; D, BMI and at least 2 CMDs; E, WC and at least 2 CMDs; and F, WHR and at least 2 CMDs.

Figure 2. Area Under the Receiver Operating Curve (AUC) of the BMI, WC and WHR for predicting the presence of at least 1 and 2 CMDs in females. The AUCs were larger for all anthropometric indices for predicting the presence of at least 1 CMD compared to at least 2 CMDs. A, BMI and at least 1 CMD; B, WC and at least 1 CMD; C, WHR and at least 1 CMD; D, BMI and at least 2 CMDs; E, WC and at least 2 CMDs; and F, WHR and at least 2 CMDs.

Among males, the optimal BMI cut-off associated with the occurrence of each of the CMDs was 23 kg/m2 with highest sensitivity and specificity for hypertension (Table 4). In terms of the occurrence of at least 1 and 2 CMDs, the optimal cut-offs were 22 and 23 kg/m2 respectively. For the WC, the optimal cut-off associated with each of the CMDs ranged from 81–84 cm with highest sensitivity and specificity for occurrence of hypertension. The optimal cut-offs associated with the occurrence of at least 1 and 2 CMDs were 79 and 84 cm respectively. The optimal WHR cut-off associated with each of the CMDs was approximately 0.91 with highest sensitivity for hypertension and specificity for diabetes. The optimal cut-offs associated with the occurrence of at least 1 and 2 CMDs were 0.90 and 0.91 respectively.
Click here to download Table 4Table 4. Optimal cut-off values, sensitivities and specificities for occurrence of cardiometabolic diseases in males

Among females, the optimal BMI cut-off associated with the occurrence of each of the CMDs was 24 kg/m2 with highest sensitivity for diabetes and specificity for hypertension (Table 5). In terms of the occurrence of at least 1 and 2 CMDs, the optimal cut-offs were 23 and 24 kg/m2 respectively. The optimal WC cut-off associated with each of the CMDs ranged from 79–81 cm with highest sensitivity and specificity for occurrence of diabetes. The optimal cut-offs associated with the occurrence of at least 1 and 2 CMDs were 77 and 79 cm respectively. For the WHR, the optimal cut-off for each of the CMDs was 0.86 with highest sensitivity and specificity for diabetes. The optimal cut-offs for the occurrence of at least 1 and 2 CMDs were 0.85 and 0.86 respectively.
Click here to download Table 5Table 5. Optimal cut-off values, sensitivities and specificities for occurrence of cardiometabolic diseases in males

The BMI, WC and WHR have all been shown to be associated with CMDs particularly hypertension, diabetes and dyslipidemia. Most of the studies on the risk of developing CMDs associated with overweight and obesity have been deduced from Caucasians.[16][25] However, over the years, it is becoming clear that for Asians, the risk of developing these diseases related to excess amount of body fat occur at a lower BMI, WC and WHR.[14][17][26] [27] The results of our study are consistent in showing that CMDs among Filipinos in these rural communities are associated with lower overweight and obesity anthropometric cut-offs compared to the WHO recommendations. Our results were derived from a population with no known CMDs, and free of medications that could alter their anthropometric and metabolic measurements. Our result is one of the first evidences that Filipinos living in the Philippines develop CMDs at lower anthropometric measurements.
Although our data do not represent all Filipinos, our study participants are representative of Filipinos in the rural communities: small-medium built, with moderate-high intensity physical activities and low-moderate caloric intake (consuming mostly rice, vegetables and fish). Despite their healthy physique and lifestyle, the percentage of population with CMDs in this rural community is higher compared to its latest prevalence reported in the National Nutrition and Health Survey 3 years ago (hypertension: 28.6 vs 20.6%; diabetes mellitus: 11.1 vs 6.0%; and dyslipidemia: 78.3 vs 72.0%).[5] This higher rate could be an overestimate of its true prevalence because of population (volunteer/selection) bias in our data due to inclusion of non-randomized participants (a limitation of doing the study in a rural setting as described above). However, the rate could also be an underestimate since 58% (192) of our population are <40 years when screening for CMDs like diabetes are not yet recommended in our country.[28] Our findings of elevated prevalence of CMDs despite low BMI are consistent with studies of Filipino-Americans who have higher diabetes prevalence, smaller WC, lower BMI but significantly more visceral adipose tissue (VAT) by computed tomography (CT) compared to obese Black women.[29] In the absence of CT-defined VAT measures, BMI, WC and WHR offer practical tools, particularly in rural settings to identify those at risk for CMD.
As in most studies, the optimal cut-offs have been identified based on the occurrence of at least 1[15][17]-[19] and 2[8][14] CMDs. That is, the cut-off with maximum sensitivity and specificity, where it is identified that the occurrence of a single or clustering of CMDs start to increase. Particularly for BMI, our optimal cut-off is for overweight and obesity combined. This is because there is no clear approach on how to delineate the two conditions based on occurrence of CMDs, unlike the well-established body fat percentage used in validation studies.[7]
Our results showed that for males, the optimal BMI, WC and WHR cut-offs were 24 kg/m2, 84 cm and 0.91 respectively. These were determined from a higher sensitivity and specificity for the occurrence of at least 2 CMDs compared to at least 1 CMD. For females, the optimal BMI, WC and WHR cut-offs were 23 kg/m2, 77 cm and 0.85 respectively. These were determined from a higher sensitivity and specificity for the occurrence of at least 1 CMDs compared to at least 2 CMDs. These cut-offs also showed larger AUCs for predicting the occurrence of at least 1 (for females) and 2 (for males) CMDs. Since anthropometric indices should serve as trigger to screen for CMDs, a cut-off with a higher sensitivity is preferable to include more and to minimize missing potential at-risk individuals especially if the tests are not costly and definitive.[29] Our results are more applicable to females. The small number of male participants (n=92) makes the recommendations weaker.
Using our optimal BMI cut-offs, the rate of overweight/obesity is 48.2% (40.2 and 51.3% in males and females respectively). This is higher by 15.1% higher and 2.1% lower than if the WHO and WHO-APP cut-offs respectively were used. On the other hand, using our optimal WC and WHR cut-offs, the rate of central obesity is 66.6% (56.5 and 70.4% in males and females respectively). This is higher by 49.9 and 7.4% if the WHO and WHO-APP cut-offs respectively were used. This underestimation of the existing cut-offs is also seen in other Asian countries.[15][19] It is clearly seen from our results that the balance between sensitivity and specificity of the optimal cut-off levels is better than that of the currently established cut-offs particularly the global WHO cut-offs.
Our results are also similar to other Southeast Asian and neighboring countries where the occurrence of CMDs appears at a lower BMI, WC and WHR compared to Western countries.[14]-[20] In countries like Taiwan,[15] Singapore,[17] Malaysia[18] and Cambodia[19] where cut-offs were identified based on the occurrence of at least 1 CMD, the BMI cut-off for overweight/obesity is approximately 23 kg/m2 similar to our results except for Malaysian women whose cut-off was found to be higher at ~25 kg/m2.[18] This lower BMI cut-off associated with the presence of any CMD for Asians seem to be true even for Asians living in America. In a recent study[27] on 1,663 Asian Americans which included 536 Filipinos, a BMI of 23 kg/m2 was identified to be the optimal BMI cut-off point for screening diabetes similar to our results especially for females. However, a cut-off point with sensitivity of approximately 80% was used to determine this cut-off. In terms of WC, cut-offs were in the range of 80-83 cm except for Taiwanese women whose cut-off was found to be lower at 71.5.[15][17]-[19] Lastly, in terms of WHR, cut-offs were diverse. In Singapore, women have higher WHR cut-off than men (0.90 vs 0.80),[17] whereas the reverse is true in Taiwan (0.76 vs 0.85),[15] similar to our results.
Among the three anthropometric indices, our results showed that BMI, WC and WHR seem to best predict the occurrence of hypertension, diabetes and dyslipidemia respectively for both sexes since these indices have the largest AUCs. This was similarly found by Ko et al.,[16] and Aekplakorn et al.,[20] among Hong Kong Chinese and Thais respectively. They concluded that BMI and WHR were closely associated with various cardiovascular risk factors, complemented by other anthropometric indices. However, for the prediction of at least 1 and clustering of CMDs, AUCs of BMI has the largest among the three indices followed by WC among males. Among females, BMI has the largest AUCs for predicting the presence of at least 1 CMD, but for clustering of CMDs, WHR and WC were better than BMI. It may imply that BMI, WC and WHR are good indices that would predict the occurrence of any CMDs in both sexes especially for males (since the AUCs were always higher than for females). Among which of the three is better is a subject for debate. Among Malaysians, WC has been seen to predict obesity-related cardiovascular risk factors in men and women better than BMI.[18] Similar findings were reported by Zhu et al.,[30] among non-Hispanic black, Mexican Americans and Non-Hispanic whites, and Aekplakorn et al.,[20] among Thais. Li et al.,[31] further specified that for clustering of 2 or more cardiovascular risk factors among Chinese people, WC is the most important factor followed by age and BMI (both having the same impact). These results suggest that central obesity indices particularly WC is a better predictor of cardiovascular risk compared to BMI. This seems to be especially applicable to Asians who has been seen to be predisposed to central obesity, hence related to increased risk of the metabolic syndrome.[20] This predisposition is clearly seen in our population where the rate of central obesity is higher than overweight and obesity combined (70% vs 54%).
Our study is mainly limited by the volunteer bias during the recruitment for Phase II of DSME Program. However, this study aims to look for the relationship of anthropometric indices with the occurrence of CMDs, and not to report on prevalence data on CMDs. In essence, the same methodology has also been employed in other studies recruiting volunteers and not randomly selected participants.[14][16][18]
Since our study population are rural community dwellers, it is recommended that cut-offs for urban community dwellers are also determined. Second, body composition studies should be performed in relation to anthropometric indices to clarify whether Filipinos have equivalent levels of fatness of body size and BMI, and whether Filipinos preferentially deposit abdominal fat. Prospective studies on the relationship of obesity and the development of cardiovascular risk factors and occurrence of hard end points like mortality are recommended. Lastly, our study does not intend to recommend the appropriate anthropometric indices cut-offs for Filipinos. Our results simply provided evidence that CMDs occur at lower anthropometric indices cut-off levels. To change the screening practices in our country, national data must be evaluated using appropriate analysis.[27]
In our study, we have identified the levels of BMI, WC and WHR defining overweight and obesity associated with the occurrence of CMDs among Filipino adults in a rural community. Similar to other Asian countries, these cut-offs are lower than the current WHO recommendations.
AcknowledgementsThe authors acknowledge the support of the Diabetes Study Group of the Section of Endocrinology, Diabetes and Metabolism of the University of the Philippines – Philippine General Hospital, Dr. Rosario Araneta for her help in editing the manuscript and Mr. Jundelle Romulo Jalique for analyzing our data.
Statement of AuthorshipAll authors have given approval to the final version submitted.
Author DisclosureAll the authors have declared no conflict of interest to the work carried out in this paper.
Funding SourcePhase II DSME Program is a recipient of research grants from Diabetes Philippines, the BRIDGES program (Bringing Research in Diabetes to Global Environments and Systems) of the International Diabetes Federation (IDF), and Department of Science and Technology (DOST)-Philippine Council for Health Research and Development (PCHRD).
[1] World Health Organization. Fact sheet: Obesity and overweight. Available from: http://www.who.int/mediacentre/factsheets/fs311/en/.
[2] World Health Organization, eds. Chapter 1: Burden: Morbidity, mortality and risk factors. Global status report on noncommunicable diseases 2010. Available from: http://www.who.int/nmh/publications/ncd_report_chapter1.pdf.
[3] Misra A, Khurana L. Obesity and the metabolic syndrome in developing countries. J Clin Endocrinol Metab. 2008;93(11 Suppl 1):S9-30. DOI.
[4] Dans AL, Morales DD, Velandria FV, Abola TB, Roxas A Jr, Punzalan FE, et al. National Nutrition and Health Survey (NNHeS): Atherosclerosis – related diseases and risk factors. Philipp J Intern Med. 2005;43:103-115.
[5] Sy RG, Morales DD, Dans AL, Paz-Pacheco E, Punzalan FE, Abelardo NS, et al. Prevalence of atherosclerosis-related risk factors and diseases in the Philippines. J Epidemiol. 2012;22(5):440-447. DOI.
[6] Jasul GV, Sy RA, for the Philippine Association for the Study of Overweight and Obesity (PASOO). Obesity treatment recommendations in the Philippines: Perspective on their utility and implementation in clinical practice. J ASEAN Fed Endocr Soc. 2011;26(2):122-8. DOI.
[7] World Health Organization. Physical status: The use and interpretation of anthropometry. Geneva. 1995. Available from: http://www.who.int/childgrowth/publications/physical_status/en/.
[8] Wildman RP, Gu D, Reynolds K, Duan X, He J. Appropriate body mass index and waist circumference cutoffs for categorization of overweight and central adiposity among Chinese adults. Am J Clin Nutr. 2004;80(5):1129-36. PubMed.
[9] Weisell RC. Body mass index as an indicator of obesity. Asia Pac J Clin Nutr 2002;11(Suppl s8):S681-4. DOI.
[10] Tee ES. Obesity in Asia: Prevalence and issues in assessment methodologies. Asia Pac J Clin Nutr. 2002;11(Suppl s8):S694-701. DOI.
[11] The World Health Organization Western Pacific Region. The Asia-Pacific perspective: Redefining obesity and its treatment. Sydney: Health Communications Australia Pty Limited. 2000. Available from: http://www.wpro.who.int/nutrition/documents/Redefining_obesity/en/.
[12] Low S, Chin MC, Ma S, Heng D, Deurenberg-Yap. Rationale for redefining obesity in Asians. Ann Acad Med Singapore. 2009;38(1):66-9. PubMed.
[13] Kanazawa M, Yoshiike N, Osaka T, Numba Y, Zimmet P, Inoue S. Criteria and classification of obesity in Japan and Asia-Oceania. Asia Pac J Clin Nutr. 2002;11(Suppl s8):S732-7. DOI.
[14] Bei-Fan Z and the Cooperative Meta-analysis Group of Working Group on Obesity in China. Predictive values of body mass index and waist circumference for risk factors of certain related diseases in Chinese adults: Study on optimal cut-off points of body mass index and waist circumference in Chinese adults. Asia Pac J Clin Nutr. 2002;11(Suppl s8);S685-93. DOI.
[15] Lin WY, Lee LT, Chen CY, Lo H, Hsia HH, Liu IL, et al. Optimal cut-off values for obesity: Using simple anthropometric indices to predict cardiovascular risk factors in Taiwan. Int J Obes Relat Metab Disord. 2002;26(9):1232-8.
[16] Ko GTC, Chan JCN, Cockram CS, Woo J. Prediction of hypertension, diabetes, dyslipidaemia or albuminuria using simple anthropometric indexes in Hong Kong Chinese. Int J Obes Relat Metab Disord. 1999;23(11):1136-42.
[17] Deurenberg-Yap M, Chew SK, Lin VF, Tan BY, van Staveren WA, Deurenberg P. Relationships between indices of obesity and its co-morbidities in multi-ethnic Singapore. Int J Obes Relat Metab Disord. 2001;25(10):1554-62.
[18] Zaher ZM, Zambari R, Pheng CS, Muruga V, Ng B, Appannah G, et al. Optimal cut-off levels to define obesity: Body mass index and waist circumference, and their relationship to cardiovascular disease, dyslipidaemia, hypertension and diabetes in Malaysia. Asia Pac J of Clin Nutr. 2009;18(2):209-16. PubMed.
[19] An Y, Yi S, Fitzpatrick A, Gupta V, Prak PR, Oum S, et al. Appropriate body mass index and waist circumference cutoff for overweight and central obesity among adults in Cambodia. PLoS One. 2013;8:e77897. DOI.
[20] Aekplakorn W, Kosulwat V, Suriyawongpaisal P. Obesity indices and cardiovascular risk factors in Thai adults. Int J Obes. 2006;30:1782-90. DOI.
[21] Ardeña GJ, Paz-Pacheco E, Jimeno CA, Lantion-Ang FL, Paterno E, Juban N. Knowledge, attitudes and practices of persons with type 2 diabetes in a rural community: Phase I of the community-based Diabetes Slef-Management Education (DSME) program in San Juan, Batangas, Philippines. Diabetes Res Clin Pract. 2010;90(2):160-6. DOI.
[22] American Diabetes Association. Diagnosis and classification of diabetes mellitus. Diabetes Care. 2014;31(Suppl 1):S81-90. DOI.
[23] National Education Program. Third report on detection, evaluation, and treatment of high blood cholesterol in adults (Adult Treatment Panel III) final report. Circulation. 2002;106:3143-3422.
[24] Chobanian AV, Bakris GL, Black HR, Cushman WC, Green LA, Izzo JL Jr, et al for the National High Blood Pressure Education Program Coordinating Committee. Seventh report of the Joint National Committee on prevention, detection, evaluation, and treatment of high blood pressure. Hypertension. 2003;42:1206-52. DOI.
[25] Kannel WB, Cupples LA, Ramaswami R, Stokes J III, Kreger BE, Higgins M. Regional obesity and risk of cardiovascular diseases; The Framingham Study. J Clin Epidemiol. 1991;44(2):183-190. http://dx.doi.org/10.1016/0895-4356(91)90265-B.
[26] Deurenberg-Yap M, Yian TB, Kai CS, Deurenberg P, van Staveren WA. Manifestation of cardiovascular risk factors at low levels of body mass index and waist-to-hip ratio in Singaporean Chinese. Asia Pac J Clin Nutri 1999;8:177-183.
[27] Araneta MR, Kanaya AM, Hsu WC, Chang HK, Grandinetti A, Boyko EJ, et al. Optimum BMI cut points to screen Asian Americans for type 2 diabetes. Diabetes Care. 2015;38:814-820.
[28] UNITE for Diabetes Philippines. Philippine practice guidelines on the diagnosis and management of diabetes mellitus. PPD Compendium of Philippine Medicine, 16th ed, 2014.
[29] Araneta MRG, Barrett-Connor E. Ethnic differences in visceral adipose tissue and type 2 diabetes: Filipino, African-American, and White women. Obes Res 2005;13(8):1458-65. DOI.
[30] Zhu S, Heymsfield SB, Toyoshima H, Wang Z, Pietrobelli A, Heshka S. Race-ethnicity-specific waist circumference cutoffs for identifying cardiovascular disease risk factors. Am J Cin Nutr. 2005;81(2):409-15. PubMed.
[31] Li G, Chen Y, Jang J, Wang J, Xing X, Yang W, et al. Obesity, coronary heart disease risk factors and diabetes in Chinese: An approach to the criteria of obesity in Chinese population. Obes Rev. 2002;3(3):167-72. DOI.
Authors are required to accomplish, sign and submit scanned copies of the JAFES Author Form consisting of: (1) the Authorship Certification that the manuscript has been read and approved by all authors, and that the requirements for authorship have been met by each author, (2) the Author Declaration that the article represents original material that is not being considered for publication or has not been published or accepted for publication elsewhere, (3) the Statement of Copyright Transfer[accepted manuscripts become the permanent property of the JAFES and are licensed with an Attribution-Share Alike-Non-Commercial Creative Commons License. Articles may be shared and adapted for non-commercial purposes as long as they are properly cited], (4) the Statement of Disclosure that there are no financial or other relationships that might lead to a conflict of interest. For Original Articles involving human participants, authors are required to submit a scanned copy of the Ethics Review Approval of their research. For manuscripts reporting data from studies involving animals, authors are required to submit a scanned copy of the Institutional Animal Care and Use Committee approval. For Case Reports or Series, and Images in Endocrinology, consent forms, are required for the publication of information about patients. Articles and any other material published in the JAFES represent the work of the author(s) and should not be construed to reflect the opinions of the Editors or the Publisher.